当前位置: 首页 -> 科学研究 -> 学术成果 -> 正文

科学研究

学术成果

信息工程学院本科生在中科院一区TOP期刊发表高水平学术论文

发布时间:2026/02/23 作者:黄海辉 来源:信息工程学院
摄影

近日,我校信息工程学院本科生康丁魁(2021级计算机科学与技术专业,已毕业)、周亚男(2022级计算机科学与技术专业,在读)以共同第一作者身份,以我校大数据系统计算技术国家工程实验室韶关研究中心为第一单位,在人工智能与专家系统领域的国际期刊《Expert Systems With Applications》(ESWA)上发表了题为“CALNet: An Align-then-Integrate Architecture for Navigating the Entanglement-Bottleneck Dilemma in DTI Prediction”的学术论文。

ESWA是人工智能与专家系统领域的国际期刊,在人工智能及应用领域享有较高的学术声誉。该论文的通讯作者为信息工程学院黄海辉副教授,合作作者还包括中医药广东省实验室梁勇研究员。

论文简介如下:

药物-靶标相互作用(DTI)预测是现代药物研发的核心环节,能够有效缩短新药研发周期并降低成本。然而,现有的多模态深度学习方法在融合药物分子结构与生物文本信息时,往往面临着特征“纠缠”与信息“瓶颈”的两难困境。针对这一难题,该论文创新性地提出了一种名为“CALNet”的深度学习框架。该框架基于一种全新的“先对齐-后融合”(Align-then-Integrate)架构设计。

图注:CALNet模型整体架构与“先对齐-后融合”模块示意图

CALNet模型首先利用图注意力网络(GAT)提取药物和蛋白质的结构特征,并结合大语言模型生成的语义特征。在融合阶段,模型通过直接的跨模态注意力机制对不同模态进行语义“对齐”,捕获细粒度的局部依赖关系;随后通过一个中心化的潜在阵列(LatentArray)对信息进行系统性“融合”。

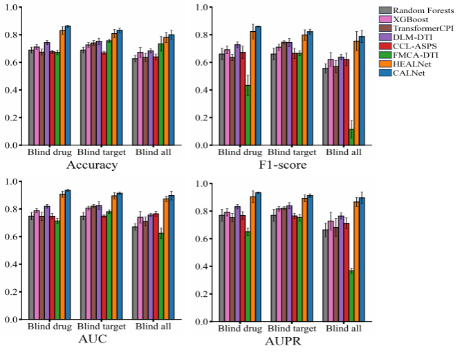
图注:CALNet在最具挑战性的全新药物-全新靶标预测场景中表现优异

实验结果表明,CALNet在最具挑战性的“全新药物-全新靶标”预测场景下,AUPR指标达到了0.896,显著优于现有的主流方法。该研究不仅为药物发现提供了一种强鲁棒性的预测工具,也为计算生物学中的复杂多模态融合提供了新的架构。

本项研究工作得到了广东省重点建设学科科研能力提升项目“人工智能驱动的生物医药大数据集成分析研究”(No.2022ZDJS049)等项目的大力支持。

本科生能够在国际知名期刊发表高水平论文,是信息工程学院长期坚持高质量人才培养的缩影。一直以来,信息工程学院高度重视学生的创新能力培养,通过构建“以赛促学、以研促创”的实践育人体系,鼓励学生早进实验室、早进课题组、早进科研团队。

在学院浓厚的学术氛围和导师团队的悉心指导下,学生创新成果呈井喷式增长。近五年,学院学子在各类学科竞赛中屡获佳绩,累计获省级及以上学科竞赛奖项超过1200项;同时,学生主持获批省级及以上大学生创新创业训练计划项目23项。

未来,学院将继续加大对学生科研创新活动的支持力度,力争培养更多具有创新精神和实践能力的高素质应用型人才。